哈喽!掌门好呀~
师弟我最近潜伏在水友群里看到有掌门在吐槽看不到下下级大殿升级要求,秉承着有求必应的服务理念!
俺第一时间整理了一张大殿表格全览,方便掌门提前了解大殿等级对应的解锁信息~
毕竟弟子的升级和门派鼎盛都跟大殿等级息息相关。

注:弟子的日程设置也可以提升资源的生产速度,掌门记得更改弟子的日程哦~
游戏还在不断完善和补充新玩法新内容,具体以游戏内为准,小师弟会随时更新攻略~
掌门有需要了解的随时评论区留言!
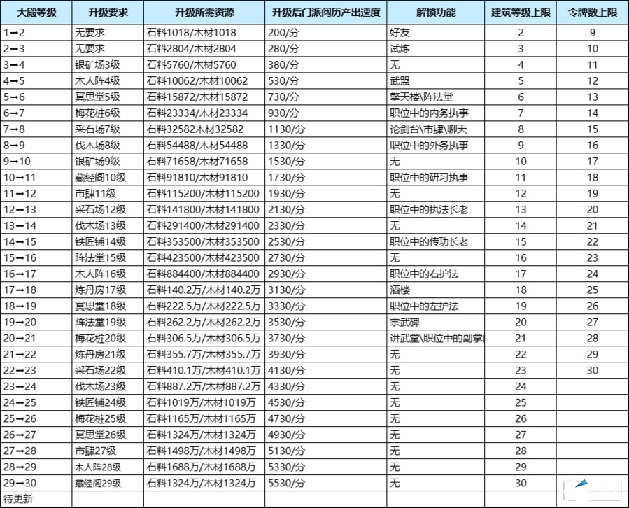
哈喽!掌门好呀~
师弟我最近潜伏在水友群里看到有掌门在吐槽看不到下下级大殿升级要求,秉承着有求必应的服务理念!
俺第一时间整理了一张大殿表格全览,方便掌门提前了解大殿等级对应的解锁信息~
毕竟弟子的升级和门派鼎盛都跟大殿等级息息相关。

注:弟子的日程设置也可以提升资源的生产速度,掌门记得更改弟子的日程哦~
游戏还在不断完善和补充新玩法新内容,具体以游戏内为准,小师弟会随时更新攻略~
掌门有需要了解的随时评论区留言!